返回列表 发布新帖
查看: 233|回复: 0

《NPJ Clim Atmos Sci》算力革命:区域高分辨率AI模型,挑战传统天气预报

[复制链接]

64

主题

41

回帖

374

积分

中级会员

积分
374
发表于 2026-1-15 15:14:56 | 查看全部 |阅读模式
转自:https://mp.weixin.qq.com/s/bmQlGhJ7lglBgeALbt6KnA
原创  #数据咨询服务  地学拓扑局  2026年1月13日

论文简介

题目:A regional high resolution AI weather model for the prediction of atmospheric rivers and extreme precipitation
期刊:《npj Climate and Atmospheric Science 》(IF:8.4 Q1)
发表时间:2025年12月12日
文章编号:(2025) 8:385
DOI: 10.1038/s41612-025-01265-9

研究背景及意义

降水预报传统上依赖数值天气预报(NWP)系统,这些系统虽然能够捕捉大气动力学的精细尺度特征,但计算需求巨大。近年来人工智能(AI)技术的快速发展为天气预测带来了新的机遇,AI模型能够在几分钟内生成预报,且计算资源需求极低。然而,现有的全球AI模型往往低估降水总量并产生过度平滑的预报场,限制了其在降水预报中的有效性。美国西部地区地形复杂、气候多样,大气河流(ARs)在该区域降水中扮演关键角色,占加州年际降水变率的85%。目前缺乏专门针对该区域的高分辨率、自回归AI驱动模型,且这些新兴AI方法与最先进的物理模型之间的全面比较仍然不足。本研究旨在填补这一空白,开发区域高分辨率AI天气模型,为km尺度降水预报提供新的解决方案。

研究内容

本研究基于图变换器架构,利用美国西部天气与水极端中心(CW3E)的6公里高分辨率区域再分析数据集和全球ERA5数据集,训练了一个AI驱动的拉伸网格模型。该模型在美国西部和北美大部分地区采用6公里水平网格增量,其他区域为约31公里,能够快速生成分钟级的预报。研究评估了该模型在三个冬季(2020-2021、2021-2022、2022-2023)的降水预报性能,并与三个基准模型进行比较:AI拉伸网格模型的粗化版本(类似ECMWF的AIFS)、ECMWF的IFS(0.25度分辨率)以及专门用于美国西部AR预测的9公里WRF有限区域模型(West-WRF)。研究还分析了模型对关键训练超参数(如学习率、损失函数、变量缩放)的敏感性,并采用多种验证指标(RMSE、ETS、FSS、RAPSD)进行全面评估。

数据来源

本研究使用了两个主要数据集:全球低分辨率数据集和区域高分辨率数据集。全球数据集采用ERA5再分析产品,在N320投影上提供31公里空间分辨率的每小时数据,包含76个变量(75个预报变量和1个诊断变量),涵盖13个气压层的位势、温度、风场和比湿,以及多个单层变量。区域数据集来自CW3E的6公里再分析,采用与West-WRF NRT动力模型类似的方式生成,基于WRF动力模型,使用ERA5作为初始和侧边界条件,具有100个垂直层。观测数据采用PRISM,提供4公里空间分辨率的日降水数据,作为验证AI和NWP模型的地面真值。大气河流目录数据来自CW3E的AR目录,涵盖2020-2021、2021-2022、2022-2023三个冬季的12个等级2及以上的AR事件。

研究结论

1、区域AI模型显著降低降水误差:AI 6公里模型在24小时累积降水误差方面表现优于全球模型,能够有效捕捉极端降水事件,特别是与大气河流相关的事件,而全球较粗模型往往低估这些事件。
2、高分辨率模型提供更精细的空间细节:AI 6公里模型和West-WRF在捕捉高影响降水事件(特别是98百分位)和雨天频率方面与观测数据(PRISM)表现出更好的一致性,而全球模型(IFS和AI 31公里)倾向于低估高降水区域的日降水总量和湿日分布的上百分位。
3、模型在极端降水事件中表现优异:AI 6公里模型在捕捉降水强度和分布方面表现出色,对于99百分位以下的极端降水几乎没有低估,且功率谱密度与观测目标一致,而全球模型在40毫米以上降水时低估现象更加明显。
4、计算效率优势明显:AI 6公里模型在单块H100 GPU上仅需6-7分钟即可生成7天预报,计算成本仅为传统NWP方法的一小部分,同时性能与区域物理模型相当甚至更优。
5、模型对大气河流事件具有良好预测能力:通过2023年1月5日大气河流事件的案例研究,AI 6公里模型能够准确再现降水空间分布,包括旧金山湾区和内华达山脉的降水最大值,而AI 31公里模型在极端降水区域显著低估。

主要图集

图1:在测试期间,于120小时预报前期(即96–120小时间累计降水量)通过动力学和人工智能模型(包括全球和区域)观测并预测了验证域内的关键日降水统计数据

图2:通过动力学和人工智能模型验证降水分布的强度和频谱频率

图3:动态(IFS和West-WRF)和AI模型在2天、4天和6天预报前期的分数技能得分(FSS)

图4:2023年1月5日一级大气河流的案例研究

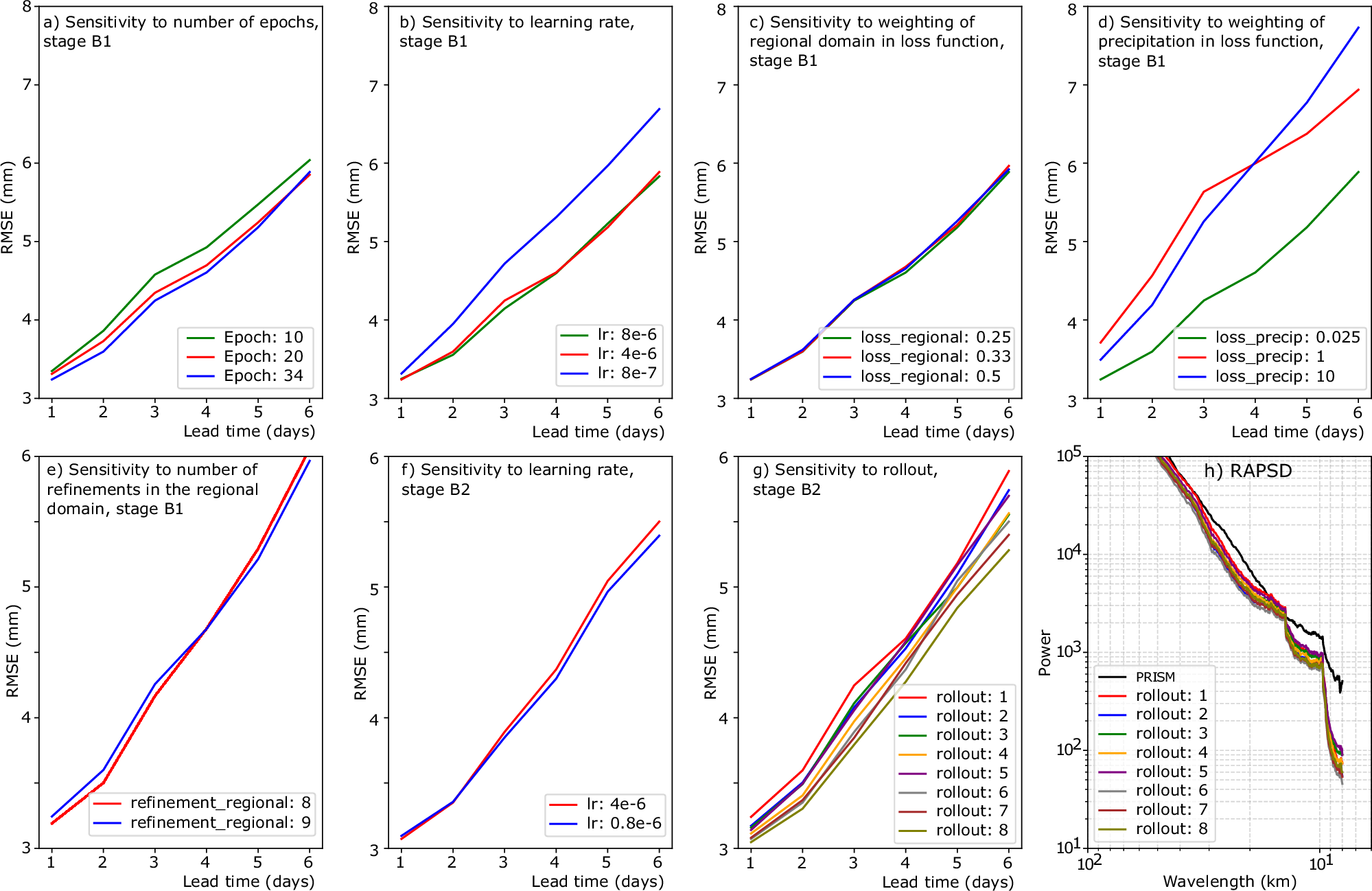
图5:AI 6公里预报误差对某些超参数的敏感度图6:用于训练全局和拉伸网格AI驱动天气模型的示意图

图6:用于训练全局和拉伸网格AI驱动天气模型的示意图
您需要登录后才可以回帖 登录 | 立即注册

本版积分规则

地模论坛 © 2001-2025 Discuz! Team. Powered by Discuz! W1.5 京ICP备14024088号
关灯 在本版发帖 返回顶部
快速回复 返回顶部 返回列表